授業内容
第6回 業務に必要な知識
6 業務に必要な知識
6.1 品質管理(Quality Control)
ヒストグラム・パレート図・ABC分析
品質管理を行う際に有効な手段として使われるのが、QCの7つ道具や新7つ道具と呼ばれるものです。
QCの7つ道具 (1)層別 (2)パレート図(ABC分析) (3)特性要因図 (4)ヒストグラム (5)散布図 (6)チェックシート (7)管理図
QCの新7つ道具 (1)連関図法 (2)親和図法 (3)系統図法 (4)アローダイアグラム法 (5)マトリックス図法 (6)マトリックスデータ解析法 (7)PDPC法(過程決定計画図)
ABC分析は在庫管理を管理水準の重要度によってA、B、Cの3つの水準に分けて管理にかかる時間的経済的なコストを最小にしようという分析手段のことを言います。
重要度は高いほうからAランク(使用金額70%以上)、Bランク(使用金額70〜90%)、Cランク(使用金額90%以上)に分けられ、Aランクを少数重点項目、B,Cランクを多数軽微項目として取り扱いの重要度に区別を行うようにします。
ABC分析には縦棒グラフ(ヒストグラム)とそれを降べきに並べ累積百分率をつけたパレート図を作り、グループの分類を行います。

PERT図(アローダイアグラム)
PERT(Program Evaluation and Review Technique:プログラムの評価と展望の技術)は一連の作業の中で、作業を期間内に仕上げるために最も注意を払わなければならない部分(Critical Pass:危険なパス)を探し出して、管理を行っていくスケジューリングに関する技術の一つです。

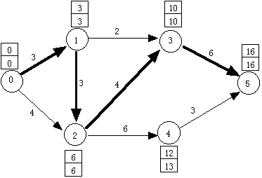
上の図は、次のように見ていきます。0(開始)から5(終了)までの5つのイベントがあったとします。それぞれで発生するパスは8つ。矢線上にそのパスで必要な時間(日数)が書いてあることにします。
イベント0からイベント2に行く方法は2通りあり、イベント1を経由していくか、直接2に行くの2通りです。部品の組み立てをイメージしてください。0→2の場合は4日でイベント発生になりますが、0→1→2の場合は6日必要となります。部品を組み立てるには、材料がそろっていないとそれが出来ないので、ここでの最も早い作業開始日数は6日と言うことになります。
次にイベント3の場合は0→1→3であれば5日ですが、0→1→2→3となると10日必要になります。このように考えて。終点までの最早開始時刻を調べていきます。するとプロジェクト全体での必要日数は16日と言うことになります。
次に、今度は終点からたどって、そのプロジェクトが何日までに開始されていなければいけないかを辿っていくことにします。5→2は、5→3→2と5→4→2の2通りですが、5→3→2はプロジェクト全体の16日から10日引いて6日までに開始しておかなくてはならない。一方、5→4→2は16-9で7日までに開始しておかなくてはならない。このとき採用されるのは、最悪始めなければならない6日の方になります。そうやって、始点Oまで辿っていきます。

上の枠と下の枠の差がゼロになる経路がクリティカル・パス(Critical Pass:危険なパス)になります。この経路上が、一日でも遅れると作業全体に支障が出る流れになります。逆に、この経路上が短縮できれば、作業全体が短縮できることになります。
このような作業の計画を行う方法を日程計画法と呼びます。
ホーム シラバス 授業計画 授業へのQ&A コンピューター初心者の皆さんへ